罗茨鼓风机属容积式风机,是一种典型的气体增压与输送机械产品,广泛应用于石油、化工、纺织、食品、造纸、水产养殖、电镀、建材、冶炼、矿山、电力等产业。
在化工、石油行业中,罗茨鼓风机为作业中的物理过程和化学过程提供反应气体的作用,如氧化碳、氢气、氧气、二氧化碳、硫化氢、二氧化硫、甲烷、煤气等。除此之外,罗茨鼓风机也属于真空设备,用于粉体谷物颗粒输送、集尘、力口工物吸着保持、浓缩空气干燥、脱水等领域。
罗茨鼓风机主要有二叶和三叶风机二类,目前三叶罗茨鼓风机比较常用。在风机领域,市面上的四叶罗茨鼓风机比较少见,与二叶、三叶罗茨风机相比,四叶罗茨鼓风机更具稳定性、性能可靠、工作效率高、能耗低、噪音小等,因此国内不少风机生产厂家开始引进生产四叶罗茨鼓风机。
随着互联网时代的高速发展,运用计算机对叶轮机械内部实际流动进行数据模拟其流动状况也成为一种新手段。运用动网格技术,采用气体流动控制方程方程和标准k一 e湍流模型,对四叶罗茨风机内部流场进行数值模拟。
罗茨鼓风机两叶轮在旋转过程中相互啮合,致使风机内部的流动情况特别复杂。国内对于罗茨风机数值模拟很少,一般采用稳态的简化模型。罗茨鼓风机随着转子转动流体空间变化很大,这些简化方法无法满足实际要求,必须使用难度较大的动网格技术进行模拟。
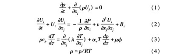
1气体流动的控制方程
罗茨风机内气体视为可压缩理想气体,其工作过程属于流动与传热的耦合问题,满足下列的连续性方程、动量方程、能量方程及气体状态方程,湍流模型采用工程中最常用的标准k一嘴型。

沉水鲁氏鼓风机
河道治理曝气工程
造纸机械鲁式真空泵
印染脱水鲁式真空泵